728x90

솔루션
# Definition for singly-linked list.
# class ListNode:
# def __init__(self, x):
# self.val = x
# self.next = None
class Solution:
def getIntersectionNode(self, headA: ListNode, headB: ListNode) -> ListNode:
p1 = headA
p2 = headB
while p1 != p2:
if p1:
p1 = p1.next
else:
p1 = headB
if p2:
p2 = p2.next
else:
p2 = headA
return p1
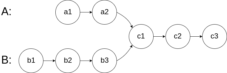
while 문 조건을 p1 != p2
기준으로 두 node가 같은 경우 while문 중단한다.
node가 다른 경우 계속 next로 이동하는데 만약 끝까지 도달했음에도 p1 == p2가 아닌 경우
즉, p1의 next가 None인 경우 p1은 headB를 받아서 다시 next를 수행한다.(p2의 경우는 반대로)
무식한 것 같지만 나름 효율적인 방법이기도 하다.
그러다 보면 결국 겹치는 부분이 발생하는데 그 때 return을 하게 되는 것이다.
서로 다른 노드를 강제로 서로 다른 노드로 스위치하면서 계속이어지게 만들어서 조건을 찾는 것이다.
디버깅 코드와 같이 보자.
class ListNode:
def __init__(self, x):
self.val = x
self.next = None
class Solution:
def getIntersectionNode(self, headA: ListNode, headB: ListNode) -> ListNode:
p1 = headA
p2 = headB
while p1 != p2:
if p1:
print("P1", p1.val)
p1 = p1.next
else:
# print(p1.val)
p1 = headB
# print(p1.val)
if p2:
print("P2",p2.val)
p2 = p2.next
else:
p2 = headA
return p1
A_dummy = A = ListNode(None)
B_dummy = B = ListNode(None)
HA = [4,1,8,4,5]
HB = [5,6,1,8,4,5]
while HA:
A.next = ListNode(HA[0])
A = A.next
HA.pop(0)
while HB:
B.next = ListNode(HB[0])
B = B.next
HB.pop(0)
# while A_dummy:
# print(A_dummy.val)
# A_dummy = A_dummy.next
Solution().getIntersectionNode(A_dummy, B_dummy)
예제 1번의 경우다.
print로 p1과 p2가 어떻게 움직이는 지 찍어봤다.
8 이라는 node에서 처음 같은 위치에 있는 것을 알 수 있다.

다른 솔루션
class Solution:
# @param two ListNodes
# @return the intersected ListNode
def getIntersectionNode(self, headA, headB):
curA, curB = headA, headB
begin, tailA, tailB = None, None, None
# a->c->b->c
# b->c->a->c
while curA and curB:
if curA == curB:
begin = curA
break
if curA.next:
curA = curA.next
elif tailA is None:
tailA = curA
curA = headB
else:
break
if curB.next:
curB = curB.next
elif tailB is None:
tailB = curB
curB = headA
else:
break
return begin
이 솔루션도 본질적으로는 위와 같다.
다만 다른점은 begin, tailB, tailB를 사용해서 푼다는 점 말고는.
출처: github.com/jiapengwen/LeetCode/blob/master/Python/intersection-of-two-linked-lists.py
728x90
'Leetcode' 카테고리의 다른 글
| [LeetCode] Excel Sheet Column Title 파이썬 (divmod, chr, ord) (0) | 2021.04.02 |
|---|---|
| [LeetCode] Two Sum II - Input array is sorted 파이썬 (0) | 2021.04.02 |
| [LeetCode] Linked List Cycle 파이썬 (is operator, id) (0) | 2021.04.01 |
| [LeetCode] Single Number python (linear complexity) (0) | 2021.04.01 |
| [LeetCode] Valid Palindrome python (regex, filter, isalnum) (0) | 2021.04.01 |
댓글